Pruning Decision trees ​
Decision trees have a major drawback:
- They can grow too deep
- They overfit
- How do we deal with a model that overfits?
- Remove splits that are not statistically significant
| A | B | Class |
|---|---|---|
| a1 | b1 | Y:50 N:0 |
| a1 | b2 | Y:0 N:50 |
| a2 | b1 | Y:0 N:50 |
| a2 | b2 | Y:50 N:0 |
A and B have no information gain but in combination they can separate the classes.
null
Remark: Y and N stand for number of yes and no in the dataset, respectively
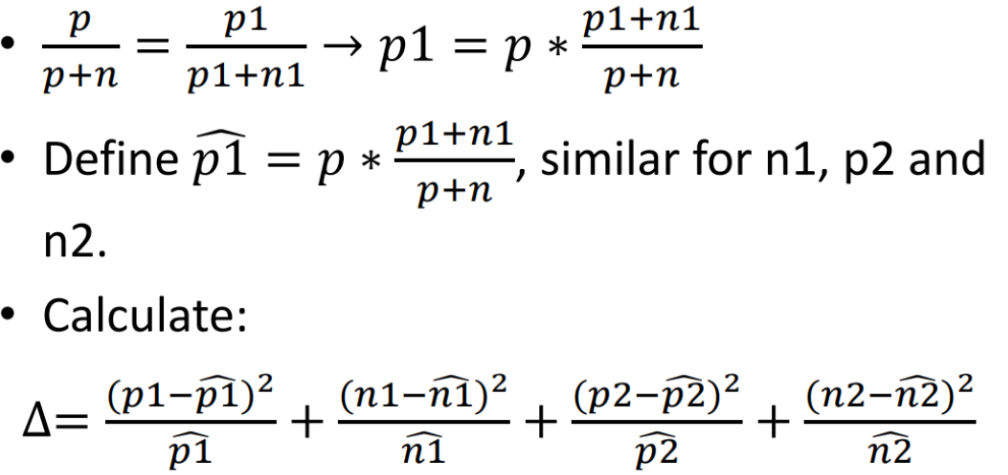
No improvement then:
p/(p+n) = p1/(p1+n1) = p2(p2+n2)
n/(p+n) = n1/(p1+n1) = n2(p2+n2)
Bottom-up Pruning ​

/_\ is X^2- distributed with 1 degree of freedom. In general d-1 degrees of freedom, with d as a number of splits.
Small values for /_\ imply no rejection of null hypothesis (Ho: no improvement) and hence pruning of tree.