Integration
Antiderivatives
We know how to calculate derivatives from functions, but sometimes it’s necessary to recover a function from its known derivative. More general we want to find a function F from it derivative f. If such a function F exists, it is called an antiderivative of f. Capital letters are used for antiderivatives.
In essence a function F is an antiderivative of f on an interval I if F’(x)=f(x) for all x in I. If F is an antiderivative of ƒ on an interval I, then the most general antiderivative of f on I is where C is an arbitrary constant. So the general antiderivative is a family of functions

We can also add and subtract antiderivatives and multiply them by constants leading to the following general rules.

Indefinite Integrals
A special symbol is used to denote the collection of all antiderivatives of a function f. After the integral sign the integrand function is always followed by a differential to indicate the variable of integration.

Area
We can estimate the area R under a function f by using rectangles. The number of intervals (the more the better) and the height of the rectangles determine the accuracy of our estimate. There are three general ways to estimate the area using different heights for the rectangles.

The above illustrates the upper sum, this estimate is larger than the true area A since the rectangles contain R. It is obtained by taking the height of each rectangle as the maximum (uppermost) value of ƒ(x) for a point x in the base interval of the rectangle.

The above illustrates the lower sum, this estimate is lower than the true area A since the rectangles undershoot R. It is obtained by taking the height of each rectangle as the the value of ƒ(x) at the right endpoint of the subinterval forming its base.

The last and most accurate way of estimating the area is called the midpoint rule. The midpoint rule gives an estimate that is between a lower sum and an upper sum, but it is not quite so clear whether it overestimates or underestimates the true area.
The area under the graph of a positive function over an interval can be approximated by finite sums. First we subdivide the interval into subintervals, treating the appropriate function ƒ as if it were constant over each particular subinterval. Then we multiply the width of each subinterval by the value of ƒ at some point within it, and add these products together. If the interval [a, b] is subdivided into n subintervals of equal widths
The choices for the
Summations
Sigma notation enables us to write a sum with many terms in the compact form:



We can also add, subtract and multiply sums, the following rules apply:

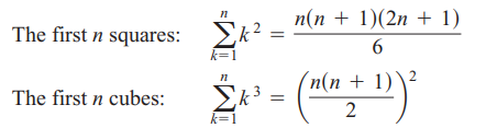
Several other formulas related to finite sums have appeared of the years, most notably the Gauss sums which give formulas for sums on integers:


Riemann sums
We begin with an arbitrary bounded function ƒ defined on a closed interval [a, b]. We subdivide the interval [a, b] into subintervals, not necessarily of equal widths (or lengths), and form sums in the same way as for the finite approximations. To do so, we choose n-1 points

Using this we select a point in each subinterval (point chosen in the kth subinterval is called

Finally we sum all these products to get:

The sum Sp is called a Riemann sum for ƒ on the interval [a, b]. There are many such sums, depending on the partition P we choose, and the choices of the points ck in the subintervals. For instance, we could choose n subintervals all having equal width

Definite integral
The definition of the definite integral is based on the idea that for certain functions, as the norm of the partitions of [a, b] approaches zero, the values of the corresponding Riemann sums approach a limiting value:
In which:

Not all functions are integrable: If a function ƒ is continuous over the interval [a, b], or if ƒ has at most finitely many jump discontinuities there, then the definite integral
Definite integrals have several important properties which should be remembered:

A visualization of the rules:

These integrals give the area under a curve, if f(x) is nonnegative and integrable over a closed interval [a,b], then the area under the curve f(x) over [a,b] is the integral of f from a to b,
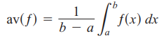
Integrals are also useful for calculating the average value (also called mean) on a certain interval

Fundamental info of calculus
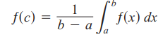
The above discussed average value is always taken on at least once by the function f in the interval according to the Mean value info for definite integrals. The function f must be continuous on that interval as well.

The Fundamental info of Calculus states that if f is continuous on [a,b] then

Also if f is continuous at every point in [a,b] and F is any antiderivative of f on [a,b] then

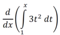
Using this info we can see that integration of a function f and then differentiating the result gives f back again, also differentiating F and the integrating gives back F gain. Example: The following can easily be calculated using the fundamental info of calculus:

First we set
This can be done for more complex functions inside the integral as well, using the fundamental info of calculus u can save yourself from integrating and differentiating function when it’s not necessary!
Written By: Daniël Lizarazo Fuentes