3-2 How Bond Prices Vary with Interest Rates
When interest rates change -> bond prices do so as well. The higher interest rate, the lower the price. The yield to maturity which is the interest rate on a bond, is defined as the discount rate that explains the bond price. So when the interest rate(yield to maturity) rises, the bond prices must fall.
- When the annual yield is equal to the bond's annual coupon rate -> the bond sells for exactly its face value.
- When the yield is higher than the coupon rate -> the bond sells at a discount to face value.
- When the yield is lower than the coupon rate -> the bond sells at a premium to face value.
Because of this, bond investors pray that market interest rates will fall so that the price of their securities(bonds) will rise. When the investors are unlucky, the interest rates jump up causing the value of their securities to drop.
⏰ Duration and Volatility
The price of a long-term bond is affected more by changing interest rates than the price of short-term bonds.
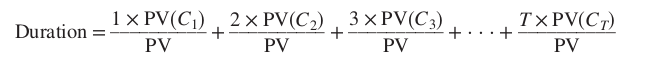
(Macaulay) duration = measure of the average life used to predict the exposure of a bond to fluctuations in interest rates
The weight for each year = the PV of the cash flow received at that time divided by the total PV of the bond.

First, value each of the coupon payments and the final payment of (coupon + face value). These prices add up to the bond price. After that we calculate the fraction of the price accounted for by each cash flow and

It's best to use modified duration or volatility when measuring how bind prices change when interest rates change. Which is duration divided by (1 + yield to maturity).
